Xraytrace documentation

raytracing software for x-ray standing wave calculations

User Tools

Site Tools


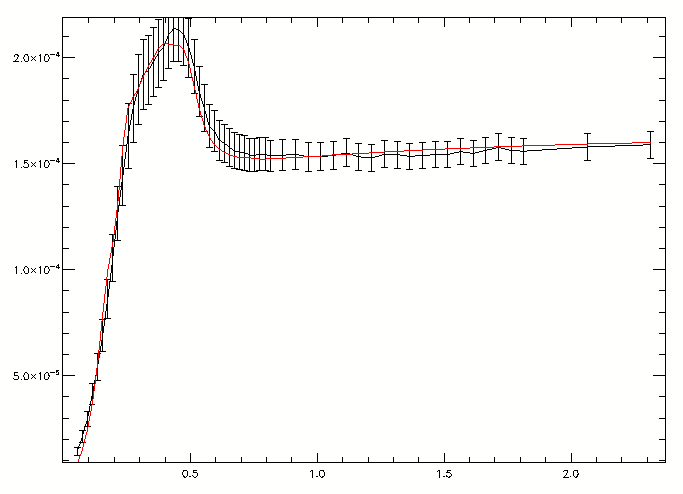
agsemispheres.png

agsemispheres.png

agsemispheres.png
Date:
2018/01/27 13:49
Filename:
agsemispheres.png
Format:
PNG
Size:
6KB
Width:
683
Height:
494
References for:
ag_semispheres

This list might not be complete due to ACL restrictions and hidden pages.